Aging Has No Root Cause
My most original Inkhaven post to date
Epistemic status: Written quickly. I think my summary of the evolutionary theories is highly likely to be correct. The core tension I illustrated is reasonably likely to be correct. However, I’m less confident I described the current field correctly. Also the idea is both novel and obvious on an important and well-funded topic, which of course means it’s more likely to be wrong than most.
We’ve invested billions in anti-aging to target “hallmarks of aging”1and find root causes of aging. And yet, if the predominant evolutionary biology theories of aging are correct, aging isn’t a unified phenomenon at all. Rather, it’s thousands of independent failures that evolution stopped preventing.
This is a pretty important tension, and yet I’m not aware of any prior attempts to point out, never mind reconcile, this tension. Let’s try to break it down:
What is the case for anti-aging research and development?
First of all, what is anti-aging? Let’s first consider what it’s against: right now, current work on increasing lifespans look like piecemeal interventions. For example, statins and GLP-1 for heart disease, chemotherapy for cancers, whatever latest fraudulent fad for Alzheimer’s.
But these “whack-a-mole” interventions have limited power to bend the aging curve:

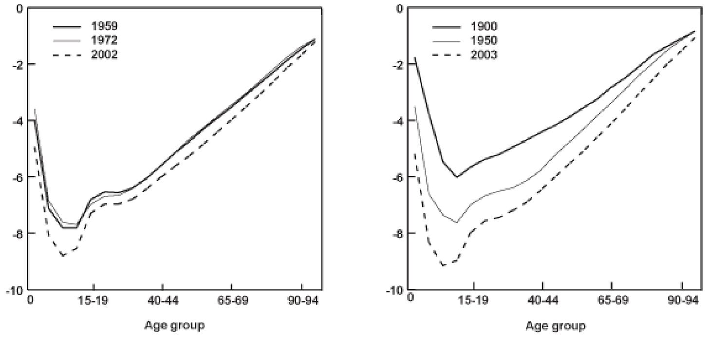
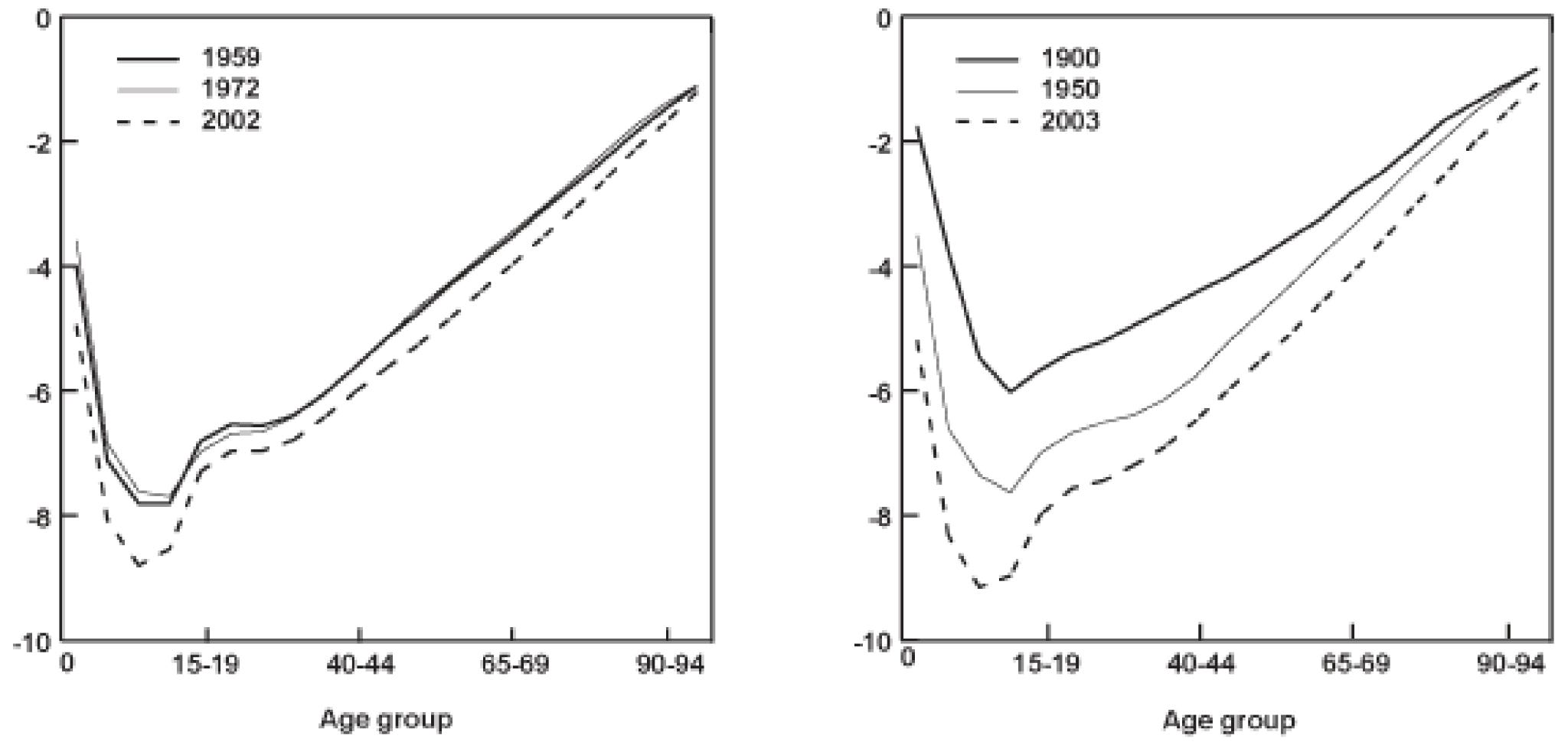
For more empirical data, you can see mortality curves for other countries at Our World In Data. They all have essentially the same curve, high initial infant mortality that drops quickly in childhood, a low point in pre-teens or early teens, and then exponentially rising mortality rates for the rest of your life.
Modern medicine can cure specific ailments and increase your lifespan by a few decades, but in aggregate it’s powerless to bend the hard mortality curve of aging.
Instead we should treat the root causes of aging, which is implicitly understood to be operating along one or a small set of functional causes of aging. A specific model might be:
First, look at something like telomeres or other hallmarks of aging.
And then try to solve the root causes of aging by tackling the hallmarks of aging one-by-one.
This has a lot of rhetorical and emotional force. But it is likely wrong.
The Evolutionary Biology of Aging
Why did aging evolve in almost all animals? There are many theories for the evolution of aging, but there are two dominant families of theories: Adaptive and non-adaptive.
Adaptive theories of aging
Adaptive theories of aging say that we evolved aging for a reason. There are different adaptive theories, including:
Evolvability: Maybe we evolved aging to allow for shorter generation times and to allow for more cycles to find evolutionarily fit descendants
Group selection: Aging is programmed to benefit the species by removing older individuals and making room for the young.
Pathogen control (Mitteldorf): Aging increases host diversity and turnover, protecting populations from chronic infectious diseases.
Without going into the details, the majority of evolutionary biologists now believe that those theories are wrong.
Non-Adaptive theories
There are two primary non-adaptive theories:
Deleterious mutations: Bad mutations happen every generation. Mutations that reduce your mortality or reproductive ability early in your (natural) life are penalized a lot. Mutations that reduce your mortality or reproductive ability late in your (natural) life are only penalized a little. Thus we should expect much more of the latter than the former.
Antagonistic pleiotropy: Mutations that benefit you early in life but with a rider that harms you later in life will be positively selected for.
Why are non-adaptive theories correct?
Will Bradshaw discusses them in detail here, both the more detailed theoretical model and evidence for why they’re correct.
In brief summary:
To understand the evolution of aging in humans, we naturally turn to a related question: Why do bats live longer than mice?
Bats and mice are evolutionarily and morphologically quite similar. The main difference, of course, is that bats could fly. And that, arguably, made all the difference.
See, one of the more interesting stylized facts in animal surveys on aging is that an animal’s intrinsic mortality rate – how likely it is to die without external pressures like starvation and predation – is closely linked to its extrinsic mortality rate. An animal’s lifespan in captivity is closely linked with its prevalence of predation in the wild.
In addition to bats, birds on average also live much longer than most mammals. Fliers in general live longer than landlocked animals, since they can escape more easily, controlling for body weight (Being bigger of course also makes it harder to eat you).
In addition to flight and bodyweight, you are also more likely to have a longer maximum lifespan if you’re tree-borne, burrowing, armored, spiky, poisonous, or social – all factors that reduce your extrinsic mortality rate.
Why? There are many possible theories, but the widely held belief among theoretical biologists is natural selection pressures: mutations that decrease fitness later in life are more punishing if you have a longer natural lifespan (lower extrinsic mortality rate). In contrast, if predators have a 99% chance of eating you before the ripe old age of 2, any mutation that reduces fitness by the age of 10 is ~ irrelevant. Hence, Deleterious mutations and antagonistic pleatropy explains the evidence better than the adaptive models (consider: if evolvability is a major desiderata in aging, we’d expect animals with a low extrinsic rate of dying from predation to die more quickly intrinsically to compensate. Instead we observe the opposite!)
For more, see Will Bradshaw’s sequence on the theoretical biology of aging: Why We Age, Part 1; Evolution is Sampling Error; Why We Age, Part 2: Non-adaptive theories.
(To be clear, while non-adaptive theories are very much the majority, this is still a matter of active academic debate, and holdouts for adaptive theories still exist and are respected)
The central tension
If mutation accumulation theory is right, why would telomere shortening be a “hallmark” rather than just one of thousands of semi-independent ways things go wrong?
There’s no reason to expect solving a single problem like telomeres, or a meaningful tidy list of 12 hallmarks of aging like telomere shortening, mitochondrial dysfunction, and cellular senescence to have a meaningful impact on mortality.
Rather, they’re just a random sample of correlates of biological aging (like rings in a tree), or perhaps more optimistically, a random sample from the thousands upon thousands of problems that occur when evolutionary selection pressure against “bad stuff” goes down.
Trying to attack aging by solving its “root causes” is like trying to tackle “unhappiness” with solving root causes. There’s no guarantee that knowing a root cause (in this case, evolution) gives you that much insight into actually addressing the manifestations of the problem.
What This Means for Anti-Aging Strategy
If my analysis is correct, the implications are grave. The longevity field has organized itself around a framework that might well be implicitly mistaken on how aging actually evolved. Billions were raised to target “root causes” that evolutionary theory suggests don’t exist.
This doesn’t necessarily mean anti-aging research is worthless. But I think we should have a greater degree of humility and awe about what’s actually possible.
In the short term, the “whack-a-mole” approach (statins for cardiovascular disease, cancer screening, Alzhemier’s research minus the fraud) might be the best we can realistically do. These interventions are less exciting than “solving aging,” but they are what actually works when you are trying to fight the symptomatic manifestations of thousands of largely independent problems.
In the medium term, we might continue to make progress through brute force. If we can develop and deploy interventions faster than aging mechanisms compound, we could stay ahead of the curve even without a unified theory. But taking aging seriously means understanding that the difficulties might well become exponential with time.
In the long term, our best bet might be via clever modality alternatives. Organ replacement, comprehensive cellular repair mechanisms (whether boosted natural ones or an entirely artificial system), or even more speculative approaches like cryonics or uploading could potentially sidestep the evolutionary constraints that make aging so intractable.
Anyway, I don’t have all the answers here. And I’d love to be wrong, since (among others) overall this piece is a bit more depressing to think about than before I started seriously considering the practical implications of non-adaptive aging. Please comment here if you disagree and why!
PS. I wrote this post as a extended pitch for a magazine who expressed some interest (fingers crossed!) If you spot mistakes, holes in my arguments, or points you find confusing, now would be an unusually good time to tell me, so that the improved longform magazine version would contain less errors.
Thanks to conversations with Will Bradshaw, Holly Elmore, and Matthew Barnett over the years that helped me connect the dots on the evolution of aging. Also thanks to Sean Carter, Allie Johnson and others who I talked to today when trying to refine my ideas for this post. All mistakes are, as usual, due to a combination of my own deleterious genetic mutations and environmental irritants. Please comment if you see errors anyway, so I know which specific mutations to blame.
In the rest of the article I use “hallmarks” and “telomeres” conceptually as a concrete short-hand for a broader pattern of reasoning. I do expect my arguments to apply more broadly.




For an alternative model, you should look to John Wentworth's Gears of Aging sequence, which broadly comes to the opposite conclusion, that there is something that can at least be reasonably viewed as a mediator, if not a root cause of aging (the main reason here is that most stuff in the body is repaired/returned to equilibrium more quickly than the time-scale of aging, meaning that we can broadly rule out the "thousands of things going independently wrong model".
The best explainer comes from this post "Homeostasis and “Root Causes” in Aging":
https://www.lesswrong.com/s/3hfjaztptwEt2cCve/p/d4DvqS88Q29ZaJAj3